RESOLUCIÓN 40577 DE 2025
(noviembre 28)
Diario Oficial No. 53.321 de 1 de diciembre de 2025
MINISTERIO DE MINAS Y ENERGÍA
Por la cual se sustituye la Resolución número 40436 del 18 de octubre de 2024, que delimita el Distrito Minero Especial para la Diversificación Productiva en el Bajo Cauca Antioqueño, denominado Distrito Agrominero y Pesquero de la Subregión del Bajo Cauca Antioqueño y se adoptan otras disposiciones.
EL MINISTRO DE MINAS Y ENERGÍA,
en uso de sus facultades legales y reglamentarias, en especial las conferidas por el artículo 208 de la Constitución Política, el artículo 61 de la Ley 489 de 1998, el artículo 5o del Decreto número 381 de 2012, el artículo 231 de la Ley 2294 de 2023, y el Decreto número 977 de 2024, y
CONSIDERANDO:
Que el artículo 2o de la Constitución Política, esboza como fines esenciales del Estado, el servir a la comunidad, promover la prosperidad general y garantizar la efectividad de los principios, derechos y deberes consagrados en la Constitución; facilitar la participación de todos en las decisiones que los afectan, en la vida económica, política, administrativa y cultural de la Nación; defender la independencia nacional, mantener la integridad territorial y asegurar la convivencia pacífica y la vigencia de un orden justo.
Que de acuerdo con lo dispuesto en el artículo 8o de la Constitución Política, es obligación del Estado y de las personas proteger las riquezas culturales y naturales de la Nación.
Que el artículo 25 de la Constitución Política, establece el trabajo como un derecho y una obligación social, que goza en todas sus modalidades de la especial protección del Estado. Toda persona tiene derecho a un trabajo en condiciones dignas y justas.
Que el artículo 38 de la Constitución Política señala que "se garantiza el derecho de libre asociación para el desarrollo de las distintas actividades que las personas realizan en sociedad".
Que el artículo 64 de la Constitución Política, modificado por el Acto Legislativo número 01 del 5 de julio de 2023, reconoce al campesinado como sujeto de especial protección constitucional, señalando que "Es deber del Estado promover el acceso progresivo a la propiedad de la tierra del campesinado y de los trabajadores agrarios, en forma individual o asociativa".
Que el artículo 65 de la Constitución Política establece que "La producción de alimentos gozará de la especial protección del Estado. Para tal efecto, se otorgará prioridad al desarrollo integral de las actividades agrícolas, pecuarias, pesqueras, forestales y agroindustriales, así como también a la construcción de obras de infraestructura física y adecuación de tierras".
Que el artículo 79 de la Constitución Política, indica que todas las personas tienen derecho a gozar de un ambiente sano. La ley garantizará la participación de la comunidad en las decisiones que puedan afectarlo. Es deber del Estado proteger la diversidad e integridad del ambiente, conservar las áreas de especial importancia ecológica y fomentar la educación para el logro de estos fines.
Que el artículo 80 de la Constitución Política de Colombia, establece que el Estado planificará el manejo y aprovechamiento de los recursos naturales, para garantizar su desarrollo sostenible, su conservación, restauración o sustitución.
Que el artículo 113 de la Constitución Política señala que "los diferentes órganos del Estado tienen funciones separadas, pero colaboran armónicamente para la realización de sus fines".
Que el artículo 209 de la Constitución Política, considera que las autoridades administrativas deben coordinar sus actuaciones para el adecuado cumplimiento de los fines del Estado.
Que los artículos 287 y 288 de la Constitución Política, determinan que las entidades territoriales gozan de autonomía para la gestión de sus intereses dentro de los límites de la Constitución y la ley, conforme a la distribución de competencias entre la Nación y las entidades territoriales, que han de ser ejercidas conforme a los principios de coordinación, concurrencia y subsidiariedad.
Que el artículo 332 de la Constitución Política, determina que el Estado es propietario del subsuelo y de los recursos naturales no renovables, sin perjuicio de los derechos adquiridos y perfeccionados con arreglo a las leyes preexistentes.
Que el artículo 231 de la Ley 2294 de 2023, por la cual se expide el Plan Nacional de Desarrollo 2022-2026 "Colombia, Potencia Mundial de la Vida", creó los Distritos Mineros Especiales para la Diversificación Productiva, como "un instrumento de planificación socioambiental, gestión y articulación institucional para alcanzar la sustentabilidad de las regiones donde se desarrollan operaciones y proyectos mineros, promover la asociatividad entre mineros y mineras de pequeña escala, así como la industrialización a partir de minerales estratégicos, el desarrollo de nuevas alternativas productivas, la reconversión laboral, de ser necesaria, la solución concertada de los conflictos ocasionados por la minería, y generar condiciones para garantizar la soberanía alimentaria de las poblaciones" y designó al Ministerio de Minas y Energía para coordinar con la autoridad minera nacional, las autoridades ambientales y demás entidades competentes, la facultad de delimitar el área de los mismos, para la diversificación productiva.
Que en el mismo artículo se estableció que para la delimitación del área de los Distritos Mineros Especiales para la Diversificación Productiva, se tendrán en cuenta, entre otros criterios, los siguientes: a) el tipo de operación minera que se desarrolla, el volumen de producción y el grado de concentración minera; b) la tradición minera de las comunidades; c) la existencia de otras actividades productivas complementarias y sus oportunidades de fortalecimiento, incluyendo la posibilidad de proyectos bioeconómicos; d) el estado de deterioro, de existir, de los ecosistemas y territorios donde se ha realizado la actividad minera, su capacidad de rehabilitación y las estrategias de conservación; e) el catastro multipropósito para fomentar usos complementarios del suelo; y, f) el fomento a la industrialización y otras alternativas de adición de valor.
Que el parágrafo 2 del artículo 2.2.5.12.2.1 del Decreto número 0977 de 2024, "por el cual se reglamenta el artículo 231 de la Ley 2294 de 2023 y se adiciona el Capítulo 12, al Título V, de la Parte 2, del Libro 2 del Decreto número 1073 de 2015, en relación con la identificación, priorización, delimitación e implementación de los Distritos Mineros Especiales para la Diversificación Productiva", establece que el Ministerio de Minas y Energía o a quien este delegue, a partir de las herramientas de ordenamiento y planeación del territorio, verificará las condiciones de manera preliminar del área que conformará el Distrito Minero Especial para la Diversificación Productiva.
Que el artículo 2.2.5.12.2.3 del citado Decreto número 0977 de 2024, establece que la delimitación del área de los Distritos Mineros Especiales para la Diversificación Productiva se adoptará mediante acto administrativo expedido por el Ministerio de Minas y Energía, o quien haga sus veces, en coordinación armónica con la autoridad minera nacional, las autoridades ambientales y las demás carteras ministeriales concernidas.
Que el Ministerio de Minas y Energía profirió la Resolución número 40436 del 18 de octubre de 2024 "por la cual se delimita el Distrito Minero Especial para la Diversificación Productiva en el Bajo Cauca Antioqueño, denominado Distrito Agrominero y Pesquero de la Subregión del Bajo Cauca Antioqueño".
Que el artículo segundo de la Ordenanza número 33 de la Asamblea Departamental de Antioquia, expedida el 6 de diciembre de 2007, creó la "Subregión del Bajo Cauca" como una unidad territorial y administrativa a través de la cual se busca integrar la planificación territorial y la gestión administrativa del departamento.
Que la "Subregión del Bajo Cauca" se encuentra ubicada al norte del departamento de Antioquia, en un área aproximada de 811.159 hectáreas que limitan con los departamentos de Córdoba, Sucre y Bolívar y está conformada por 6 municipios: Cáceres, Caucasia, El Bagre, Nechí, Tarazá y Zaragoza.
Que el 27 de mayo de 2021, fue constituida la Región de Planeación y de Gestión del Bajo Cauca Antioqueño, mediante un convenio interadministrativo en el cual participaron los municipios de Cáceres, Caucasia, El Bagre, Nechí, Tarazá y Zaragoza, con el propósito disponer de los instrumentos de articulación y coordinación regionales requeridos para fortalecer el proceso de integración regional asociada y actuar como administrador del territorio subregional.
Que mediante el Decreto Ley 893 del 28 de mayo de 2017, se crearon los Programas de Desarrollo con Enfoque Territorial (PDET) como un instrumento de planificación y gestión para implementar de manera prioritaria los planes sectoriales y programas en el marco de la Reforma Rural Integral (RRI) y las medidas pertinentes que establece el Acuerdo Final, Acuerdo que suscribió el Gobierno nacional con el grupo armado FARC-EP para la Terminación del Conflicto y la Construcción de una Paz Estable y Duradera.
Que los seis (6) municipios que conforman la Subregión del Bajo Cauca Antioqueño se encuentran catalogados como Programas de Desarrollo con Enfoque Territorial (PDET) y frente a ellos se suscribió, el 14 de diciembre de 2018, el Plan de Acción para la Transformación Regional (PATR) Subregión Bajo Cauca y Nordeste Antioqueño, con una duración de 10 años, del cual surge el compromiso para las autoridades municipales y departamentales de articular los programas y proyectos incluidos en sus planes de desarrollo, con las acciones e iniciativas que sean viabilizadas y priorizadas en el PTAR.
Que el numeral 6 del artículo 236 de la Ley 1819 de 2016, establece que las Zonas Más Afectadas por el Conflicto Armado (ZOMAC), están constituidas por el conjunto de municipios que sean considerados como más afectados por el conflicto.
Que conforme a lo dispuesto en el Anexo 2 del Decreto número 1650 de 2017, los seis (6) municipios que conforman la Subregión del Bajo Cauca Antioqueño se encuentran catalogados como Zonas Más Afectadas por el Conflicto Armado (ZOMAC).
Que el Departamento Administrativo Nacional de Estadísticas (DANE), realizó la actualización post COVID-19, de las proyecciones de población, teniendo en cuenta los resultados del Censo Nacional de Población y Vivienda (CNPV) 2018, en las cuales se estima que la población total de la Subregión del Bajo Cauca Antioqueño para el año 2024, asciende a 268.459 personas, de las cuales el 50,38% (135.252) corresponden a mujeres y el 49,62% (133.207) a hombres, de estos, 177.038, que corresponden al 66% de la población, habita en la cabecera municipal, mientras que el 34% restante, que equivale a 91.421 personas residen en centros poblados y rural disperso. El mayor número de personas (96.968) se encuentran entre las edades de 29 a 59 años, es decir adultez, seguido de infancia, 6 a 13 años (45.030), juventud, de 18 a 28 años (45.646), primera infancia, de 0 a 5 años (32.824), personas mayores, más de 60 años (28.220) y el menor número de personas se encuentra en la adolescencia, es decir, entre los 14 a 17 años (17.771).
Que mediante memorando con radicado número 2-2024-018653 del 17 de junio de 2024, la Dirección de Formalización Minera del Ministerio de Minas y Energía, solicitó a la Dirección de Asuntos para Comunidades Negras, Afrocolombianas, Raizales y Palenqueras del Ministerio del Interior la relación de los Consejos Comunitarios, Organizaciones de Base y otras Formas y Expresiones Organizativas de comunidades negras, afrocolombianas, raizales y palenqueras que se registran en sus bases de datos institucionales en los municipios de Caucasia, Cáceres, Zaragoza, Tarazá, El Bagre y Nechí, en el departamento de Antioquia; así como de los colectivos que en la actualidad adelantan el trámite de registro como Consejos Comunitarios, Organizaciones de Base o Formas y Expresiones Organizativas en los mencionados municipios.
Que, en ese mismo sentido, mediante memorando con Radicado número 2-2024-018655 del 17 de junio de 2024, la Dirección de Formalización Minera del Ministerio de Minas y Energía solicitó a la Dirección de Asuntos Indígenas, Rom y Minorías del Ministerio del Interior la relación de los resguardos y comunidades indígenas, y de las autoridades indígenas que se registran en sus bases de datos institucionales en los municipios de Caucasia, Cáceres, Zaragoza, Tarazá, El Bagre y Nechí, en el departamento de Antioquia; así como de los colectivos que en la actualidad adelantan el trámite de registro como comunidades indígenas en los mencionados municipios.
Que, en respuesta a dichas solicitudes, mediante oficio con Radicado número 1-2024- 025717, del 20 de junio de 2024, la Dirección de Asuntos Indígenas, Rom y Minorías del Ministerio del Interior manifestó que en sus bases de datos institucionales se encuentran 52 comunidades indígenas registradas en los municipios de Caucasia, Cáceres, Zaragoza, Tarazá, El Bagre y Nechí del departamento de Antioquia.
Que las Necesidades Básicas Insatisfechas (NBI) en la región del Bajo Cauca Antioqueño corresponden al 49,42% del departamento de Antioquia, con altos niveles de pobreza producto del empleo informal (68,1%), bajo logro educativo (65,4%) y bajos niveles de saneamiento por inadecuada eliminación de heces (43,2%). Por su parte la pobreza multidimensional corresponde al 28,5% del departamento (Gobernación de Antioquia, 2020).
Que los municipios de Tarazá, Cáceres, Caucasia, Nechí, El Bagre y Zaragoza pertenecientes a la Subregión del Bajo Cauca Antioqueño cumplen los criterios para que se delimite el Distrito Minero para la Diversificación en el Bajo Cauca Antioqueño de conformidad con lo establecido en el artículo 231 de la Ley 2294 de 2023 y el artículo 2.2.5.12.2.1. del Decreto número 1073 de 2015, adicionado por el Decreto número 0977 de 2024.
Que el Ministerio de Minas y Energía, en coordinación con la Autoridad Minera Nacional, las autoridades ambientales y las demás entidades competentes del orden nacional y territorial, será el encargado de delimitar el área de los Distritos Mineros Especiales para la Diversificación Productiva, con base en múltiples criterios, entre ellos los siguientes:
a) Tipo de operación minera, volumen y grado de concentración.
Que mediante la Resolución número 1006 del 30 de noviembre de 2023 de la Agencia Nacional de Minería (ANM), se estableció el Oro (Au) y sus minerales asociados o concentrados como uno de los minerales de interés estratégico para el país.
Que en los municipios de Tarazá, Cáceres, Caucasia, Nechí, El Bagre y Zaragoza, la Secretaría de Minas de la Gobernación de Antioquia, en calidad de delegataria de funciones de autoridad minera para la época, realizó con el acompañamiento de la Agencia Nacional de Minería y del Ministerio de Minas y Energía la caracterización de la población minera y de las Unidades de Producción Minera, entre los meses de abril a agosto de 2023, donde se identificó que en la Subregión del Bajo Cauca Antioqueño existe explotación minera de pequeña, mediana y gran escala, formal e informal, principalmente explotación de oro de aluvión en los ríos Cauca y Nechí, y en menor medida minería subterránea.
Que la caracterización liderada por la Secretaría de Minas de la Gobernación de Antioquia (2023), en su entonces calidad de autoridad minera delegataria, logró la identificación de 2487 Unidades de Producción Minera (UPM) en la Subregión del Bajo Cauca Antioqueño, evidenciando el dominio de una actividad realizada a través de métodos de explotación a cielo abierto (95,5%) y en menor proporción una actividad a través de métodos subterráneos (4,5 %), igualmente, es notoria la presencia de un alta tasa de UPM que para el arranque del mineral llevan a cabo labores mecanizadas (76%), seguido de una actividad manual (22%), y con un bajo porcentaje voladura (1%); siendo así, estas actividades mecanizadas se apoyan principalmente en el uso de equipos para el desarrollo de la actividad como las moto-bombas (53 %), seguido de mini-dragas (23%) y con un porcentaje más bajo el uso de maquinaría amarilla (19%).
Que como resultado de la caracterización de las Unidades de Producción Minera (UPM) del Bajo Cauca Antioqueño que realizó la Secretaría de Minas de la Gobernación de Antioquia (2023), y a partir del análisis gráfico, se evidenció la superposición con 1.102 Áreas Tituladas, 421 Propuestas de Contrato de Concesión, 38 Áreas de Reserva Especial (AREs) declaradas y delimitadas, 68 Propuestas de Contrato de Concesión Diferencial, 130 solicitudes de Legalización y 6 solicitudes de Área de Reserva Especial, así:


Que como resultado de la caracterización realizada por la Secretaría de Minas de la Gobernación de Antioquia (2023), se identificó un alto porcentaje de Unidades de Producción Minera (UPM) que para el beneficio y transformación del mineral utilizan sustancias químicas, un 52% con uso del mercurio y un 2% con uso de cianuro.
Que en atención a las reiteradas denuncias relacionadas con la explotación ilícita de minerales en diferentes regiones del país, que estarían generando impactos socio ambientales, contaminación de fuentes hídricas, incremento de la deforestación y afectaciones a ecosistemas estratégicos por el uso de Mercurio (Hg), la Procuraduría General de la Nación convocó el 26 de enero de 2023, la Mesa Nacional de Mercurio, en la cual se identificaron los retos y barreras que tiene Colombia para erradicarlo. Para el efecto definió la realización de 10 mesas territoriales de trabajo donde de manera conjunta con las entidades participantes se construirá una hoja de ruta que permitiera establecer compromisos de los actores involucrados en el marco de sus competencias para atender la mencionada problemática.
Que mediante la Circular número 003 del 18 de marzo de 2024, la Procuraduría Delegada para Asuntos Ambientales, Minero Energéticos y Agrarios, elaboró la Estrategia Nacional para el Control de la Minería Ilegal y Contaminación por Mercurio, exhortando al Ministerio de Minas y Energía para que en coordinación con la Autoridad Minera Nacional, las autoridades ambientales y demás entidades competentes del orden nacional y territorial, desarrollen lineamientos que permitirán la delimitación, adopción e implementación de los Distritos Mineros Especiales para la Diversificación Productiva, a los que hace referencia el artículo 231 la Ley 2294 de 2023 (Plan Nacional de Desarrollo 2022-2026).
Que en la Subregión del Bajo Cauca Antioqueño se identifican 5 áreas con potencial recurso minero aurífero, de acuerdo con la información suministrada por la Unidad de Planeación Minero Energética (UPME) en el Diagnóstico Distrito Agrominero y Pesquero de la Subregión del Bajo Cauca Antioqueño, radicado número 20241400146771 del 16 de agosto de 2024, las cuales se detallan a continuación:

Que en los municipios del Bagre y Zaragoza se localizan los distritors metalogénicos Montecristo y El Carmen, donde el Sistema Geológico Colombiano identifica condición potencial de minería en Oro y Plata y, al sur del municipio de Zaragoza, se detallan 2 cinturones metalogénicos donde se intuye condición potencial de minería de oro asociada a rocas intrusivas del Jurásico-Cretácico, de acuerdo con el diagnóstico de la Unidad de Planeación Minero Energética (UPME), denominado "Diagnóstico Distrito Agrominero y Pesquero de la Región del Bajo Cauca Antioqueño", el cual fue allegado al Ministerio de Minas y Energía mediante oficio con radicado número 20241400146771 del 16 de agosto de 2024.
b) Tradición minera de las comunidades
Que como resultado de la caracterización realizada por la Secretaría de Minas de la Gobernación de Antioquia - con el acompañamiento de la Agencia Nacional de Minería y del Ministerio de Minas y Energía- en los municipios de Tarazá, Cáceres, Caucasia, Nechí, El Bagre y Zaragoza, en agosto de 2023, se identificó que la principal fuente de ingreso de las Unidades de Producción Minera (UPM) caracterizadas con corte del segundo semestre de 2023 recae en la mineria (96.5%)

Que producto de la caracterización realizada por la Secretaría de Minas de la Gobernación de Antioquia (2023), se identificó que los minerales explotados por Unidad de Producción Minera (UPM) en el Bajo Cauca Antioqueño corresponden a:

Que, respecto a la tradicionalidad minera en el núcleo familiar, la caracterización realizada por la Secretaría de Minas de la Gobernación de Antioquia arrojó que el 47% reportan más de 20 años, 15.6% entre 5 y 10 años, 23.4% entre 10 y 20 años y 13.5% entre 0 y 5 años. Igualmente, respecto al tiempo que llevan ejerciendo la actividad minera en el territorio, el 41.6% reporta entre 0 y 5 años, el 16.3% entre 5 y 10 años, el 17.2% entre 10 y 20 años y el 24.3% más de 20 años.
Que en el análisis realizado por la Unidad de Planeación Minero-Energética (UPME), de los datos que reposan en el Registro Único de Comercializadores de Minerales (RUCOM), de la Agencia Nacional de Minería (ANM) a junio de 2024, se evidencia que en el municipio de Caucasia se encuentran 30.005 mineros de subsistencia registrados, 12.769 en el municipio de Nechí, 1.889 en el municipio de Cáceres, 273 en el municipio de Zaragoza, 119 en el municipio de Tarazá y 96 en el municipio de El Bagre.
c) Actividades productivas complementarias y sus oportunidades de fortalecimiento
Que los municipios de Cáceres, Caucasia, El Bagre, Nechí, Tarazá y Zaragoza, que conforman la Subregión del Bajo Cauca Antioqueño tienen un alto potencial para el desarrollo productivo agrícola, pecuario, agroforestal, forestal, acuícola y ecoturístico, gracias a su diversidad de clima y suelo.
Que la Subregión del Bajo Cauca Antioqueño cuenta con un área de Frontera Agrícola Nacional de aproximadamente, 353.572 hectáreas que equivalen al 43,5% del área de la subregión.
Que en relación con la actividad pecuaria, de acuerdo con la información de la región de planeación y gestión del Bajo Cauca Antioqueño (2023), esta actividad en la subregión está impulsada, principalmente, por la cría de bovinos, que se aproxima a 316.365 animales, el cual es el mayor respecto de las demás especies, representa el 10 % del total de bovinos del departamento; los municipios con mayor número de bovinos son Caucasia y Cáceres que aportan 36,3% y 23,5%, respectivamente, a la subregión, y 3,6% y 2,4%, respectivamente, al departamento.
Que otras actividades pecuarias de relevancia en la Subregión del Bajo Cauca Antioqueño son la cría de equinos, 27.260 animales, que representan el 9,2 % del departamento y se encuentran en mayor proporción en los municipios de Caucasia y Cáceres al concentrar 63% de la subregión; la cría de porcinos, con 19.724 animales, representa el 0,9% a nivel departamental y sobresale en los municipios de Caucasia, Nechí y Tarazá aportando, de manera conjunta, el 71% de estos animales en la subregión; y las aves 18.839 animales, representan el 0,2% de todo el departamento y es en Tarazá y El Bagre donde se encuentra mayor actividad, al sumar 62 % en la subregión.
Que de acuerdo con la información reportada del Sistema para la Planificación Rural Agropecuaria (SIPRA), específicamente con la producción agrícola año 2022, se observa que la mayor producción se generó a partir de los cultivos de arroz, yuca, plátano y ñame; La producción de arroz en la Subregión del Bajo Cauca Antioqueño representó el 46,2 % del total departamental para el año 2022, el ñame representó el 32,12%, el maíz representó el 9.87% y el plátano representó el 4,04 %.

Que existen otras actividades productivas complementarias como la apicultura y la pscicultura. Sobre esta última, de acuerdo con información de la Autoridad Nacional de Acuicultura y Pesza (AUNAP), se encuentran caracterizados 1.533 pescadores en el tramo Valdivia-Caucasia (río Cauca) organizados en 39 asociaciones y 1.188 pescadores en el tramo Nechí-El Bagre (río Nechí) organizados en 28 asociaciones. En relación con la apicultura y, de acuerdo con cifras de la Gobernación de Antioquia la Subregión del Bajo Cauca Antioqueño es la más productora de miel de abeja con más de 800 granjas y su producción estimada asciende a más de 554.000 litros.

Que, en relación con las coberturas de la tierra, en la Subregión del Bajo Cauca Antioqueño, se observa que un 41% de su extensión tiene una vocación asociada a las actividades agrícolas, de acuerdo con la información suministrada por el Instituto de Hidrología, Meteorología y Estudios Ambientales (IDEAM) 2024, área que se correlaciona con la Frontera Agrícola Nacional definida por la Unidad de Planeación Agropecuaria (UPRA).
Que de acuerdo con las estadísticas consolidadas de aptitud para diversas cadenas productivas existentes y potenciales para el Bajo Cauca Antioqueño establecidas en el sistema para la Planificación Rural Agropecuaria (SIPRA) 2024, se observa una tendencia regional hacia el desarrollo de actividades relacionadas con cultivos de maíz, cacao y arroz, maderables (acacia, teca y balso), pesca (Tilapia y Cachama) sistemas silvopastoriles y forraje.

d) Las determinantes del ordenamiento territorial y las zonas excluibles del desarrollo de la actividad minera.
Que el numeral 4 del artículo 1o de la Ley 388 de 1997, contempla dentro de sus objetivos, "Promover la armoniosa concurrencia de la Nación, las entidades territoriales, las autoridades ambientales y las instancias y autoridades administrativas y de planificación, en el cumplimiento de las obligaciones constitucionales y legales que prescriben al Estado el ordenamiento del territorio, para lograr el mejoramiento de la calidad de vida de sus habitantes" y el artículo 10 ibidem, establece las determinantes, como normas de superior jerarquía, que deberán tenerse en cuenta en la elaboración y adopción de los planes de ordenamiento territorial por parte de los municipios y distritos, para garantizar la protección del patrimonio ambiental de los territorios.
Que de conformidad con el artículo 23 de la Ley 99 de 1993, las Corporaciones Autónomas Regionales tienen como objeto propender por el desarrollo sostenible y la protección del medio ambiente en el territorio de su jurisdicción, a través de la ejecución de políticas, programas y proyectos sobre el medio ambiente y los recursos naturales renovables.
Que conforme a lo dispuesto en el numeral 5 del artículo 31 de la Ley 99 de 1993, le corresponde a las Corporaciones Autónomas Regionales "participar con los demás organismos y entes competentes en el ámbito de su jurisdicción, en los procesos de planificación y ordenamiento territorial a fin de que el factor ambiental sea tenido en cuenta en las decisiones que se adopten".
Que mediante el Acuerdo número 508 del 26 de octubre del 2017, el Consejo Directivo de la Corporación Autónoma Regional del Centro de Antioquia (Corantioquia), declaró, reservó, delimitó y alinderó "un área de doce mil doscientas veintisiete coma dos hectáreas (12.227,2 ha), como Distrito Regional de Manejo Integrado de las Ciénagas El Sapo y Hoyo Grande". Y mediante Acuerdo número 649 de 2022 se adoptó el Plan de Manejo del Distrito en el cual se determina su zonificación y régimen de actividades y usos, para alcanzar los objetivos y preservar los Valores Objeto de Conservación (VOC).
Mediante Acuerdo número 576 del 10 de diciembre de 2019, el Consejo Directivo de la Corporación Autónoma Regional del Centro de Antioquia (Corantioquia), decidió "declarar, reservar, delimitar y alinderar un área de doce mil ochocientos sesenta y cinco coma tres hectáreas (12.865,3 ha) como Distrito Regional de Manejo Integrado Ciénagas Corrales y El Ocho". El plan de manejo de este Distrito se encuentra en etapa de formulación.
Que por medio de la Ley 02 del 17 de enero de 1959, se estableció la Zona de Reserva Forestal del Rio Magdalena, para el desarrollo de la economía forestal y protección de los suelos, las aguas y la vida silvestre.
Que de acuerdo con la información suministrada por la Unidad de Planeación Minero Energética (UPME) en el Diagnóstico Distrito Bajo Cauca, con base en el Sistema de Información Ambiental de Colombia (SIAC) del Ministerio de Ambiente y Desarrollo Sostenible, a mayo de 2024, la Reserva Forestal del Río Magdalena se superpone con el Bajo Cauca Antioqueño, al costado oriental, en jurisdicción de los municipios de El Bagre, Zaragoza y Nechí, dentro de la subzona hidrográfica del Bajo Nechí, en un área aproximada de 177.031 hectáreas equivalente al 21,82% de toda la subregión.
Que mediante Resolución número 1628 de 2015, prorrogada por las Resoluciones números 1433 de 2017, 1310 de 2018, 960 de 2019, 708 de 2021 y 630 de 2023, el Ministerio de Ambiente y Desarrollo sostenible, dando aplicación al principio de precaución, declaró a la "Serranía de San Lucas" como zona de protección y desarrollo de los recursos naturales renovables y del medio ambiente. La reserva está localizada al costado noreste de la Subregión del Bajo Cauca Antioqueño, en jurisdicción del municipio del Bagre dentro de la subzona hidrográfica del Bajo Nechí, en un área aproximada de 45.484 ha.
Que mediante Resolución número 1814 de 2015, prorrogada por las Resoluciones números 2157 de 2017, 1987 de 2018, 1675 de 2019, 1125 de 2021 y 1109 de 2023, el Ministerio de Ambiente y Desarrollo Sostenible, dando aplicación al principio de precaución, declaró como zona de protección y desarrollo de los recursos naturales renovables y del medio ambiente, el Polígono 8 correspondiente al Bajo Cauca-Nechí. Posteriormente, mediante Acuerdo número 180-ACU2312-675 del 2023, el Consejo Directivo de la Corporación Autónoma Regional del Centro de Antioquia (Corantioquia), decidió "Declarar, reservar, delimitar y alinderar un área de setenta y cinco mil ochocientos dos coma setenta y nueve hectáreas (75.802,79 ha) como Distrito Regional de Manejo Integrado Bajo Cauca - Nechí, en jurisdicción de los municipios de Anorí, Cáceres y Zaragoza del departamento de Antioquia".
Que mediante Acuerdo número 017 del 27 de septiembre de 1996, el Consejo Directivo de la Corporación Autónoma Regional del Centro de Antioquia (Corantiqouia) declaró como "área de reserva en la calidad de reserva de recursos naturales la zona que se encuentra dentro de las coordenadas: Río Arquía con el cruce de la vía Medellín - Cali hasta el Retén Dos Bocas en una faja de un kilómetro a partir de la margen izquierda del Río Cauca y allí un kilómetro a lado y lado de la ribera del río hasta el Municipio de Nechí, en límites con el departamento de Córdoba".
Que mediante Sentencia T-038 de 2019, el Tribunal Superior de Medellín reconoce al Río Cauca, su cuenca y afluentes como una entidad sujeta de derechos a la protección, conservación, mantenimiento y restauración a cargo de Empresas Públicas de Medellín (EPM) y del Estado y ordena al Gobierno nacional ejercer la tutoría y representación legal de los derechos del río.
Que mediante el Decreto número 1495 de 2019 el Ministerio de Ambiente y Desarrollo Sostenible designó como representante legal de los derechos del río Cauca, su cuenca y afluentes al Director de Gestión Integral del Recurso Hídrico del Ministerio de Ambiente y Desarrollo Sostenible.
Que de acuerdo con la información que reposa en el Sistema de Información Ambiental de Colombia (SIAC) del Ministerio de Ambiente y Desarrollo Sostenible, a mayo de 2024, la zona de reserva regional ribereña del río Cauca se superpone con la Subregión del Bajo Cauca Antioqueño al costado occidental en jurisdicción de los municipios de Tarazá, Cáceres, Caucasia y Nechí dentro de la subzona hidrográfica Afluentes Directos al río Cauca en un área aproximada de 38.564 hectáreas, equivalente al 4,75% de toda la subregión.
Que a partir de la información cartográfica del mapa de ecosistemas continentales, costeros y marinos de Colombia (IDEAM 2017), se detalla que en la Subregión del Bajo Cauca Antioqueño, prevalecen las áreas en alto nivel de transformación ecosistémica (20 al 50%) que corresponden al 79,72% de la subregión (646.675 hectáreas) encontrando mayor incidencia hacia el costado suroriental en los municipios de Zaragoza y El Bagre, adicionalmente se detalla la presencia de ecosistemas de bosque húmedo tropical subandino hacia el oriente y sur coincidiendo con la áreas de reserva temporal de la Serranía de San Lucas y Bajo Cauca Nechí, en un área aproximada de 158.256 hectáreas, equivalente al 19,51 % de la subregión.
Que de acuerdo con la información que reposa en el Sistema de Información Ambiental de Colombia (SIAC) del Ministerio de Ambiente y Desarrollo Sostenible a mayo 2024, las áreas de protección y conservación asociadas a las rondas hídricas en la Subregión del Bajo Cauca Antioqueño se proyectan en un área aproximada de 58.132 hectáreas, equivalente al 7,16% de toda la subregión.
Que de conformidad con la información que reposa en el Sistema de Información Ambiental de Colombia (SIAC) del Ministerio de Ambiente y Desarrollo Sostenible a mayo 2024, las zonas de protección y conservación asociadas a los cuerpos lénticos denominados humedales, se proyectan en un área aproximada de 153.577 ha, equivalente al 18,93% de la Subregión del Bajo Cauca Antioqueño.
Que según el Instituto de Hidrología, Meteorología y Estudios Ambientales (IDEAM) 2022, específicamente en el mapa de sistemas acuíferos de Colombia del Estudio Nacional del Agua (ENA) 2022, se identifica para el área objeto de estudio, la presencia del acuífero SAM 6.5 "Bajo Cauca Antioqueño", el cual se extiende en un área aproximada de 385.337 hectáreas equivalente al 47,50% de toda la Subregión del Bajo Cauca.
Que el "Atlas Hidrogeológico del Bajo Cauca Antioqueño" identifica una condición de alta productividad de agua subterránea (sistema de acuífero libre) asociada a zonas de recarga hídrica específicamente hacia los costados norte, occidental y noroccidental, la cual que se extiende en un área aproximada de 321.823 ha, equivalente al 39,67% de la Subregión del Bajo Cauca Antioqueño.
Que el artículo 2.2.3.1.5.1 del Decreto número 1076 de 2015, determina que el Plan de Ordenación y Manejo de Cuencas Hidrográficas es el "Instrumento a través del cual se realiza la planeación del uso coordinado del suelo, de las aguas, de la flora y la fauna y el manejo de la cuenca entendido como la ejecución de obras y tratamientos, en la perspectiva de mantener el equilibrio entre el aprovechamiento social y económico de tales recursos y la conservación de la estructura físico-biótica de la cuenca y particularmente del recurso hídrico".
Que en la Subregión del Bajo Cauca Antioqueño se vienen desarrollando 12 POMCA's, de los cuales 10 se encuentran en la etapa previa al aprestamiento y 2 se encuentran aprobados mediante las Resoluciones números 2211-7135 del 29 de noviembre de 2022 (POMCA) río Bajo Nechí (2703-03) y 002 del 5 de noviembre de 2019 (POMCA) río Bajo San Jorge (2502- 01).
Que, de acuerdo con la información suministrada por el Ministerio de Ambiente y Desarrollo Sostenible en la comunicación con radicado 20002024E2033408 del 28 de agosto de 2024, en el marco de la orden 5 de la Sentencia "Ventanilla Minera" del Consejo de Estado, la Dirección de Ordenamiento Ambiental del Territorio (DOAT), generó una clasificación (categorización y tipología) de las áreas de especial interés ambiental(1) que constituyen determinantes ambientales del ordenamiento territorial y cómo estas se comportan frente a la actividad minera, la cual se presenta en la siguiente tabla:




Siglas: POM: Plan de Ordenación y Manejo de la Cuenca; PM: Plan de Manejo: POF Plan de Ordenación Forestal; * Resolución número 2724 de 2017.
Que, de acuerdo con la información suministrada por la Corporación Autónoma Regional del Centro de Antioquia (Corantioquia), en el documento denominado "Informe técnico control y seguimiento al territorio – de oficio", con radicado 160-IT2310-13341 del 4 de octubre de 2023 y tras realizar una verificación de los determinantes ambientales de la base de datos suministrada por la Secretaría de Minas de la Gobernación de Antioquia, con ocasión de los compromisos interinstitucionales por aportar a la propuesta de zonificación del "Distrito Agrominero y Pesquero del Bajo Cauca Antioqueño", se encuentra que de las Unidades de Producción Minera (UPM) censadas, 921 están dentro de áreas protegidas y otras estrategias de conservación presentes en la Subregión del Bajo Cauca Antioqueño, lo que representa un 37% del total verificado, como se muestra en la siguiente tabla:
Unidades de Producción Minera (UPM) que se encuentran dentro de Áreas Protegidas y estrategias de conservación in situ en la jurisdicción de Corantioquia

Que, del total de Unidades de Producción Minera (UPM) verificadas, se identificó que 212 UPM (8,53%) se superponen con áreas de humedales (según la capa GISCA). Asimismo, 422 UPM (16,98%) se encuentran dentro del área de vulnerabilidad alta y extrema en el sistema de acuíferos del Bajo Cauca Antioqueño, de acuerdo con la capa geográfica de vulnerabilidad humana para desabastecimiento hídrico. Finalmente, 142 UPM (5,71%) están ubicadas en el área de influencia de fuentes abastecedoras".
Que con base en la información suministrada por la Corporación Autónoma Regional del Centro de Antioquia (Corantioquia), la Dirección de Ordenamiento Ambiental del Territorio (DOAT) del Ministerio de Ambiente y Desarrollo Sostenible, generó una tabla en la que agregó el régimen de uso minero de dichas áreas: "Excluidas, Restringidas y definidas por su Plan de Manejo", de acuerdo con los artículos 5o y 7o de la Ley 99 de 1993, el artículo 34 de la Ley 685 de 2001, los artículos 202, 203, 207 de la Ley 1450 de 2011, los artículos 172 y 173 de la Ley 1753 de 2015, el Decreto número 1076 de 2015, la Sentencia del Consejo de Estado denominada "Ventanilla Minera".
Unidades de Producción Minera (UPM) en Determinantes ambientales del Ordenamiento Territorial, Excluidas y Restringidas de la actividad minera, en el Bajo Cauca Antioqueño

Que, de acuerdo con la información suministrada por la Corporación Autónoma Regional del Centro de Antioquia (Corantioquia), en el documento denomindado "Informe técnico control y seguimientos al territorio - de oficio", con radicado 160-IT2310-13341 del 4 de octubre de 2023, 788 Unidades de Producción Minera no se superponen con ninguna de las determinantes ambientales.
Que en aquellas zonas donde no es viable el desarrollo de actividades mineras en virtud de exclusiones ambientales, económicas y sociales, o donde existan restricciones, conforme la normatividad vigente, el Estado debe propiciar la reconversión laboral de quienes han venido ejerciendo tradicionalmente actividades de extracción minera en el territorio nacional y han demostrado su vocación para la formalización. Además, impulsar la formalización de las actividades no regularizadas e informales de los mineros y las mineras interesadas en formalizar su actividad, en aquellas áreas en donde es viable y permitido realizar la actividad minera y conforme las herramientas de formalización dispuestas en la ley.
e) El estado de deterioro, de existir, de los ecosistemas y territorios donde se ha realizado la actividad minera
El Gobierno de Colombia, a través del Ministerio de Minas y Energía en convenio con la Oficina de las Naciones Unidas contra la Droga y el Delito (UNODC), desarrolló el sistema de monitoreo para la explotación de Oro de Aluvión en Colombia, cuya información resultante permite la identificación de las áreas degradadas en territorio por efecto de la minería de Oro; en el caso del Bajo Cauca Antioqueño de acuerdo al reporte de EVOA en tierra (Periodo 2018 a 2022) se observa una extensión promedio anual de 29.069 hectáreas, que corresponde al 76,32% del promedio para el departamento de Antioquia y el 30,02% del promedio a nivel nacional para el mismo período; encontrando que dichas cifras indican alta representatividad en el territorio a diferentes escalas

En cuanto a la variación anual de las áreas degradadas en la Subregión del Bajo Cauca Antioqueño para el período 2018 a 2022, se observa un corportamiento ascendente entre los años 2018 al 2020 con un pico máximo en el año 2020 donde se reporta una extensión de 30.662 hectáreas, comportamiento que varía entre los años 2020 al 2022 con un descenso en las áreas identificadas dentro del sistema de monitoreo EVOA con un pico mínimo de 28.388 hectáreas en el año 2022.

Que de acuerdo con la información suministrada por la Corporación Autónoma Regional del Centro de Antioquia (Corantioquia), en el informe técnico de verificación de áreas degradadas con radicado 160-IT2311-16283 del 1 de noviembre de 2023, elaborado por solicitud de la Gobernación de Antioquia, con ocasión de los compromisos interinstitucionale por aportar a la propuesta de zonificación del "Distrito Agrominero y Pesquero del Bajo Cauca Antioqueño", se evidencia que de las 788 Unidades de Producción Minera sin determinantes ambientales presentes en los seis (6) municipios de la Subregión del Bajo Cauca Antioqueño, resultantes del informe 160-IT2310-13341 del 04 de octubre de 2023, 503 se ubican dentro de áreas que presentan algún tipo de degradación.
Que la Corporación Autónoma Regional del Centro de Antioquia (Corantioquia), en el informe técnico con radicado 160-IT2303-3601 del 2024 de marzo de 2023, en el cual realiza un análisi de las afectaciones ambientales que se presentan cerca de las bocatomas (sitios donde se realiza la capaticación del agua que alimenta la población de un territorio especifico) presentes en 12 puntos, ubicados dentro de los seis municipios de la Subregión del Bajo Cauca Antioqueño, señala que se encontrarón varias afectaciones ambientales dentro de las áreas de influencia (buffer de 500m), las cuales se resumen a continuación:

f) Catastro Multiproposito
Que el Catastro Multipropósito es la herramienta que permite que la administración, gestión y gobernanza de las tierras rurales parta desde la disposición y conocimiento real de la situación de los predios y de sus tenedores, ocupantes, poseedores y propietarios.
Que el enfoque multipropósito que puede adquirir el catastro lo convierte en un instrumento único para llevar a cabo eficazmente otras finalidades centrales del Estado como la planeación, el ordenamiento territorial y ambiental, la gestión de tierras, la programación y asignación de inversiones y en general, la formulación y ejecución de políticas públicas de toda índole en los territorios.
Que dentro del proceso de desarrollo del Catastro Multipropósito tienen gran relevancia los instrumentos de ordenamiento territorial que se han desarrollado desde la expedición de la Ley 388 de 1997.
Que los seis (6) municipios que integran la Subregión del Bajo Cauca Antioqueño, cuentan con los siguientes instrumentos de ordenamiento territorial:

Que la Agencia Nacional de Tierras (ANT) por medio de la resolución No. 2822 de 2018, aprobó el Plan de Ordenamiento Social de la Propiedad Rural en el municipio de Cáceres de la región del Bajo Cauca Antioqueño, con el objeto de iniciar el Procedimiento Único de Ordenamiento Social de la Propiedad.
Que de acuerdo con lo anterior se considera relevante la implementación de acciones institucionales que permitan la actualización de los esquemas y planes básicos de ordenamiento territorial, específicamente en los municipios de Cáceres, Nechí, El Bagre y Zaragoza, teniendo en cuenta que éstos son instrumentos que facilitan el ordenamiento y desarrollo del territorio, condición primordial para desarrollar de manera eficiente la caracterización territorial con fines de Catastro Multipropósito.
g) Fomento a la reindustrialización
Que el Consejo Nacional de Política Económica y Social, CONPES 4129 del 21 de diciembre de 2023, referente a la Política Nacional de Reindustrialización, analiza la deficiente generación de valor agregado de los productos y servicios, por la alta dependencia del sector minero-energético. Lo que exige promover la transformación del sector productivo, la diversificación y sofisticación de la oferta, el fortalecimiento de los encadenamientos productivos, los negocios verdes, la economía circular y la promoción de los siguientes aspectos: "(…) (i) la transición energética justa; (ii) la agroindustria y la soberanía alimentaria; (iii) la reindustrialización a partir los sectores de salud; y (iv) la reindustrialización a partir del sector la defensa para la vida (…)". Que permitan pasar de una "economía dependiente de las actividades extractivas a una economía basada en el conocimiento, productiva, sostenible e incluyente, que contribuya al desarrollo territorial y al cierre de brechas en materia de productividad".
Que el CONPES 4129 del 21 de diciembre de 2023, indica que "Durante las últimas décadas la participación de la industria manufacturera como porcentaje del PIB disminuyó. (…), durante el período comprendido entre 1975 y 2022, la participación de este sector manufacturero en el PIB disminuyó del 17,8 % en el período de 1975 a 1985 al 11,3 % en el período de 2016 a 2022. Por otro lado, se ha experimentado un aumento en la participación del sector de explotación de minas y canteras en el PIB, pasando del 2,4 % en el período de 1975 a 1985 al 5,9 % en el período de 2016 a 2022. Específicamente, entre 2005 y 2022 las actividades industriales relacionadas con los minerales han representado el 21% del PIB industrial y el 3% del PIB total (…)", lo que evidencia el proceso de desindustrialización de la economía colombiana.
Que el parágrafo 2 del artículo 1o de la Resolución número 40436 de 2024 establece que el Ministerio de Minas y Energía con el apoyo de la Agencia Nacional de Minería (ANM), el Ministerio de Agricultura y Desarrollo Rural (MADR), el Ministerio de Ambiente y Desarrollo Sostenible (MADS) y demás entidades competentes, estudiarán la pertinencia de extender el "Distrito Agrominero y Pesquero de la Subregión del Bajo Cauca Antioqueño" a otros municipios aledaños, conforme a los criterios establecidos en el artículo 231 del Plan Nacional de Desarrollo 2022-2026, Ley 2294 de 2023, y el Decreto número 977 de 2024; o, en su defecto de promover la conformación de distritos independientes en dichas zonas.
Que el 25 de octubre de 2024, en el municipio de Caucasia, departamento de Antioquia, se suscribió el "Acuerdo por la formalización y la regularización minera de pequeña y mediana escala" entre el Gobierno nacional y la Coordinadora Nacional Minera (CNM), con el acompañamiento de la Defensoría del Pueblo y de la Procuraduría General de la Nación, en el marco de la protesta adelantada en el Bajo Cauca y Nordeste Antioqueño, Valdivia, Sur de Córdoba y Marmato (Caldas).
Que en el numeral 7 del citado acuerdo, se estableció priorizar al municipio de Valdivia, en el departamento de Antioquia, con el propósito de incluirlo dentro de la delimitación del Distrito Agrominero y Pesquero de la Subregión del Bajo Cauca Antioqueño o considerar la creación de un distrito independiente para este municipio, que responda a las necesidades y dinámicas propias.
Que la Unidad de Planeación Minero Energética (UPME) mediante Radicado número 20241400146771 del 16 de agosto de 2024 emitió el "Diagnóstico Distrito Agrominero y Pesquero de la Región del Bajo Cauca Antioqueño"(2) y en su alcance identificado con el número 20241400225031 del 12 de noviembre de 2024, e informó al Ministerio de Minas y Energía los resultados del análisis de brechas por criterio para identificar de manera específica los territorios que pueden adicionarse al Distrito Minero Especial para la Diversificación Productiva en el Bajo Cauca Antioqueño, señalando de manera particular en el numeral 1.1.3 que el municipio de Valdivia, Departamento de Antioquia, cumple con los criterios establecidos en el artículo 231 de la Ley 2294 de 2023 y en el artículo 2.2.5.12.2.1 del Decreto número 1073 de 2015, adicionado por el Decreto número 0977 de 2024, para integrar al "Distrito Agrominero y Pesquero de la Subregión del Bajo Cauca Antioqueño".
Que la Dirección de Formalización Minera del Ministerio de Minas y Energía, envió mediante memorando número 3-2024-026296 del 13 de agosto de 2024, concepto técnico recomendando la delimitación del "Distrito Agrominero y Pesquero de la región del Bajo Cauca antioqueño", que se extiende sobre los municipios de Tarazá, Cáceres, Caucasia, Nechí, El Bagre y Zaragoza. De igual forma, mediante oficio con radicado número 3-2024-045871 del 10 de diciembre de 2024, la misma Dirección envío memorando señalando que el municipio de Valdivia cumple con los criterios establecidos en el artículo 231 de la Ley 2294 de 2023 y en el artículo 2.2.5.12.2.1, del Decreto número 1073 de 2015, adicionado por el Decreto número 0977 de 2024, lo cual lo hace viable para integrar el "Distrito Agrominero y Pesquero de la Subregión del Bajo Cauca Antioqueño", así:
"(…) el Ministerio de Minas y Energía expidió la Resolución número 40436 del 18 de octubre de 2024, por la cual se delimita el Distrito Minero Especial para la Diversificación Productiva en el Bajo Cauca Antioqueño, denominado Distrito Agrominero y Pesquero de la Subregión del Bajo Cauca Antioqueño.
El artículo 1 de la citada resolución establece que se delimita el "Distrito Agrominero y Pesquero de la Subregión del Bajo Cauca Antioqueño", que comprende los municipios de Tarazá, Cáceres, Caucasia, Nechí, El Bagre y Zaragoza, sobre un área aproximada de 811.159 ha, y en el parágrafo 2, señala que el Ministerio de Minas y Energía con el apoyo de la Agencia Nacional de Minería, el Ministerio de Agricultura y Desarrollo Rural, el Ministerio de Ambiente y Desarrollo Sostenible y demás entidades competentes, estudiarán la pertinencia de extender el "Distrito Agrominero y Pesquero de la Subregión del Bajo Cauca Antioqueño" a otros municipios aledaños, conforme a los criterios establecidos en el artículo 231 del Plan Nacional de Desarrollo 2022-2026, Ley 2294 de 2023, y el Decreto número 977 de 2024; o, en su defecto de promover la conformación de distritos independientes en dichas zonas.
(…)
Teniendo en cuenta que el municipio de Valdivia cumple con los criterios establecidos en el artículo 231 de la Ley 2294 de 2023 y en el artículo 2.2.5.12.2.1. del Decreto número 1073 de 2015, adicionado por el 0977 de 2024, lo que lo hace viable para integrar el "Distrito Agrominero y Pesquero de la Subregión del Bajo Cauca Antioqueño", se recomienda la modificación de la Resolución número 40436 del 18 de octubre de 2024, por la cual se delimita el Distrito Minero Especial para la Diversificación Productiva en el Bajo Cauca Antioqueño, denominado Distrito Agrominero y Pesquero de la Subregión del Bajo Cauca Antioqueño, con el fin de extender el área del mismo al municipio de Valdivia y con ello dar cumplimiento al numeral 7 del "Acuerdo por la formalización y la regularización minera de pequeña y mediana escala" suscrito en el municipio de Caucasia, entre el Gobierno nacional y la Coordinadora Nacional Minera, con el acompañamiento de la Defensoría del Pueblo y de la Procuraduría General de la Nación, el 25 de octubre de 2024, en el marco de la protesta adelantada en el Bajo Cauca y Nordeste Antioqueños, Valdivia, Sur de Córdoba y Marmato (Caldas)".
Que a la luz de lo previsto en el artículo 2.1.2.1.12 del Decreto número 1609 de 2015, establece la racionalización, regulación integral y seguridad jurídica, en la preparación de proyectos de decretos o resoluciones o de cualquier otro acto administrativo de carácter general, las autoridades evitarán la dispersión y proliferación normativa. Razón por la cual es procedente racionalizar y regular integralmente el acto administrativo de delimitación del Distrito Minero Especial para la Diversificación Productiva en el Bajo Cauca Antioqueño, denominado "Distrito Agrominero y Pesquero de la Subregión del Bajo Cauca Antioqueño", para adicionar el municipio de Valdivia del Departamento de Antioquia y adoptar otras disposiciones con el fin de evitar la dispersión normativa, garantizar la seguridad jurídica y facilitar la consulta al ciudadano y la función que corresponde al operador jurídico.
Que mediante oficio con radicado número 2-2025-049278 del 23 de octubre de 2025 del Ministerio de Minas y Energía, se remitió solicitud de consulta ante la Dirección de la Autoridad Nacional de Consulta Previa (DANCP) del Ministerio del Interior, la solicitud de concepto sobre la procedencia de la consulta previa para la expedición de la presente resolución.
Que a través de oficio con radicado número 2025-2-002410-051169 Id: 649224 del 11-11-2025 del Ministerio del Interior, y radicado de entrada número 1-2025-056819 del Ministerio de Minas y Energía, la Subdirección Técnica de la Dirección de la Autoridad Nacional de Consulta Previa profirió concepto jurídico sobre la solicitud elevada por este Ministerio, indicando lo siguiente:
"Sin embargo, a diferencia del proyecto de resolución analizado en el mes de junio, esta autoridad observa que la medida administrativa dispone la realización de la consulta previa en el marco de la formulación de los Planes Estratégicos de Gestión de los Distritos Mineros Especiales para la Diversificación Productiva. Ello, en atención a que es en dicha fase donde se configura un objeto consultable conforme a los criterios jurídicos aplicables, al tratarse de los elementos específicos que serán implementados dentro del distrito minero".
Que la Dirección de Formalización Minera del Ministerio de Minas y Energía diligenció el formulario de Abogacía de la Competencia establecido en el Capítulo 30 del Decreto número 1074 de 2015, determinando que el presente acto administrativo no tiene incidencia sobre la libre competencia. Por tanto, no se requiere el concepto de la Superintendencia de Industria y Comercio (SIC).
Que en cumplimiento de lo dispuesto por el numeral 8 del artículo 8o de la Ley 1437 de 2011 (Código de Procedimiento Administrativo y de lo Contencioso Administrativo (CPACA) y en concordancia con lo establecido en el Decreto número 1081 de 2015, las Resoluciones números 40310 y 41304 de 2017, la presente resolución se publicó en la página web del Ministerio de Minas y Energía para comentarios de la ciudadanía, entre el 24 de octubre y el 8 de noviembre de 2025, los cuales fueron analizados y resueltos en la matriz establecida para el efecto.
Por lo anteriormente expuesto,
RESUELVE:
ARTÍCULO 1o. Sustitúyase la Resolución número 40436 de 2024, por la cual se delimita el Distrito Minero Especial para la Diversificación Productiva en el Bajo Cauca Antioqueño, denominado Distrito Agrominero y Pesquero de la Subregión del Bajo Cauca Antioqueño, la cual quedará, así:
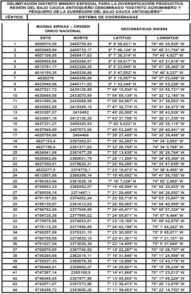
"ARTÍCULO 1o. DELIMITACIÓN. Se delimita el Distrito Minero Especial para la Diversificación Productiva de la Subregión del Bajo Cauca Antioqueño, que comprende los municipios de Tarazá, Cáceres, Caucasia, Nechí, El Bagre, Zaragoza y Valdivia, sobre un área aproximada de 867.905 hectáreas., el cual será denominado "Distrito Agrominero y Pesquero de la Subregión del Bajo Cauca Antioqueño", conforme a lo establecido en el Decreto número 0977 de 2024.
PARÁGRAFO 1o. La delimitación del "Distrito Agrominero y Pesquero de la Subregión del Bajo Cauca Antioqueño" se presenta en el Anexo 1, según la base de datos geográfica de entidades territoriales que define los límites de la capa municipio, distrito y área no municipalizada del Instituto Geográfico Agustín Codazzi (IGAC) con fecha de actualización 30 de junio de 2024, y el cálculo de coordenadas de los vértices que lo delimitan, se presenta en el sistema de proyección cartográfica oficial para Colombia (Magna Sirgas Origen Único Nacional), establecido por el IGAC, el cual hace parte integral de la presente resolución.
PARÁGRAFO 2o. El Ministerio de Minas y Energía, podrá estudiar la pertinencia de extender el "Distrito Agrominero y Pesquero de la Subregión del Bajo Cauca Antioqueño" a otros municipios aledaños, conforme a los criterios establecidos en el artículo 231 de la Ley 2294 de 2023 (Plan Nacional de Desarrollo 2022-2026), y el Decreto número 0977 de 2024; o, en su defecto de promover la conformación de distritos independientes en dichas zonas, para lo cual podrá contar con el apoyo de la Agencia Nacional de Minería (ANM), el Ministerio de Agricultura y Desarrollo Rural (MADR), el Ministerio de Ambiente y Desarrollo Sostenible (MADS) y demás entidades competentes.
ARTÍCULO 2o. OBJETIVOS. El Distrito Agrominero y Pesquero de la Subregión del Bajo Cauca Antioqueño tiene como propósito promover la diversificación productiva, la asociatividad de los mineros y mineras de pequeña escala, la producción limpia y las buenas prácticas asociadas a la seguridad minera, impulsar la formalización de la actividad minera del territorio, fomentar alternativas productivas sostenibles, facilitar la reconversión laboral y productiva, propiciar la solución concertada de los conflictos derivados de la actividad minera y garantizar la soberanía alimentaria de las comunidades locales.
ARTÍCULO 3o. CONFORMACIÓN DE LA MESA DE TRABAJO INTERINSTITUCIONAL. La Mesa de Trabajo Interinstitucional del "Distrito Agrominero y Pesquero de la Subregión del Bajo Cauca Antioqueño", estará conformada por los siguientes organismos y entidades:
- La(el) Ministra(o) de Minas y Energía o su delegada(o);
- La(el) Ministra(o) de Interior o su delegada(o);
- La(el) Ministra(o) de Hacienda y Crédito Público o su delegada(o);
- La(el) Ministra(o) de Justicia y del Derecho o su delegada(o);
- La(el) Ministra(o) de Defensa o su delegada(o);
- La(el) Ministra(o) de Agricultura y Desarrollo Rural o su delegada(o);
- La(el) Ministra(o) de Trabajo o su delegada(o);
- La(el) Ministra(o) de Comercio, Industria y Turismo o su delegada(o);
- La(el) Ministra(o) de Educación o su delegada(o);
- La(el) Ministra(o) Ambiente y Desarrollo Sostenible o su delegada(o);
- La(el) Ministra(o) de Transporte o su delegada(o);
- La(el) Ministra(o) de Ciencia, Tecnología e Innovación o su delegada(o);
- La(el) Directora(or) del Departamento Nacional de Planeación (DANP) o su delegada(o);
- La(el) Presidenta(e) de la Agencia Nacional de Minería (ANM)o su delegada(o);
- La(el) Directora(or) de Servicio Geológico Colombiano (SGC) o su delegada(o);
- La(el) Directora(or) de la Unidad de Planeación Minero-Energética (UPME) o su delegada(o);
- La(el) Directora(or) de la Agencia Nacional de Tierras (ANT) o su delegada(o);
- La(el) Presidenta(e) de la Agencia Nacional de Desarrollo Rural (ADR) o su delegada(o);
- La(el) Directora(or) de la Agencia de Renovación del Territorio (ART) o su delegada(o);
- La(el) Directora(or) del Servicio Nacional de Aprendizaje (SENA) o su delegada(o);
- La(el) Directora(or) de la Unidad Administrativa Especial de Organizaciones Solidarias o su delegada(o);
- Un(a) delegado(a) de la Corporación Autónoma Regional de Antioquía (Corantioquia);
- La(el) Gobernadora(or) del departamento de Antioquia o su delegada(o);
- Las(los) Alcaldesas de cada uno de los municipios que conforman el "Distrito Agrominero y Pesquero de la subregión del Bajo Cauca Antioqueño", o sus delegadas(os);
PARÁGRAFO 1o. Los organismos y entidades públicas que conforman la Mesa Interinstitucional deberán designar mediante acto administrativo a sus delegados, quienes deben ser servidores públicos de los niveles directivo y asesor, que tengan capacidad de decisión para la toma de decisiones de la mesa, de conformidad al artículo 9o y siguientes de la Ley 489 de 1998.
PARÁGRAFO 2o. El Ministerio de Minas y Energía convocará a la primera sesión de la Mesa de Trabajo Interinstitucional del "Distrito Agrominero y Pesquero de la subregión del Bajo Cauca Antioqueño".
PARÁGRAFO 3o. A las sesiones de la Mesa de Trabajo Interinstitucional del distrito, deberá convocarse a dos (2) representantes de cada mesa temática y/o zonal qué se conformen, de acuerdo con lo previsto en el artículo 4o de la presente resolución, quienes llevarán sus conclusiones para considerar su pertinencia en el Plan Estratégico de Gestión al que se refiere el artículo 6o. En el evento que en las Mesas Temáticas o Zonales exista participación de organizaciones o comunidades étnicas, uno (1) de los dos (2) representantes deberá ser designado por las comunidades étnicas para los fines previstos en este parágrafo.
ARTÍCULO 4o. CONFORMACIÓN DE LAS MESAS TEMÁTICAS Y/O ZONALES. Una vez instalada la Mesa de Trabajo Interinstitucional, y con el propósito de propiciar escenarios de participación de la ciudadanía, como destinataria del Plan Estratégico de Gestión, los organismos y las entidades que hacen parte de ella, en su primera sesión, conformarán las mesas de trabajo temáticas y/o zonales previstas en el artículo 2.2.5.12.3.2 del Decreto número 0977 de 2024, las cuales guardarán relación con el contexto territorial, la vocación productiva del territorio y las condiciones socioambientales y culturales.
PARÁGRAFO. Para la conformación de las mesas temáticas y/o zonales, se garantizarán convocatorias amplias con el fin de contar con la participación de las comunidades a través de sus organizaciones y asociaciones sociales, productivas y ambientales, entre otras, sin ningún tipo de restricción en el número de participantes para su conformación.
ARTÍCULO 5o. INSTALACIÓN Y FUNCIONAMIENTO DE LA MESA DE TRABAJO INTERINSTITUCIONAL. Las sesiones se realizarán de forma trimestral y las sesiones subsiguientes se fijarán de común acuerdo entre los miembros que conforman la mesa al finalizar cada sesión.
PARÁGRAFO 1o. La primera sesión de la Mesa de Trabajo Interinstitucional será convocada por la Dirección de Formalización Minera del Ministerio de Minas y Energía quien enviará las citaciones correspondientes indicando la hora, el lugar y el orden del día
con una antelación no menor a quince (15) días calendario, hasta que la mesa designe a la Secretaría Técnica.
PARÁGRAFO 2o. La asistencia de los organismos y entidades a las sesiones de la Mesa de Trabajo Interinstitucional del "Distrito Agrominero y Pesquero del Bajo Cauca Antioqueño" es de carácter obligatorio. La inasistencia por parte de alguno de los integrantes de la Mesa de Trabajo Interinstitucional del Distrito Especial del Bajo Cauca, dará lugar a la aceptación de la totalidad de las decisiones que allí se adopten, salvo que se haga un pronunciamiento expreso que justifique dentro de los cinco (5) días hábiles siguientes, la posición que asume y que en todo caso podrá ser replanteada en la siguiente sesión.
PARÁGRAFO 3o. La Mesa de Trabajo Interinstitucional estará presidida por el Ministerio de Minas y Energía. El Ministerio del Interior y el Departamento Nacional de Planeación (DNP) brindarán apoyo al Ministerio de Minas y Energía para convocar de manera efectiva a los organismos y entidades que la conforman y harán seguimiento al cumplimiento de las decisiones que adopten la Mesa de Trabajo Interinstitucional del Distrito de Bajo Cauca a través de los mecanismos que se adopten en la mesa para el efecto en el reglamento.
PARÁGRAFO 4o. Una vez instalada la Mesa de Trabajo Interinstitucional, sus integrantes definirán su propio reglamento. La Mesa deberá ser instalada dentro de los veinte (20) días hábiles siguientes a la expedición de la presente resolución.
ARTÍCULO 6o. PLAN ESTRATÉGICO DE GESTIÓN. La Mesa de Trabajo Interinstitucional del "Distrito Agrominero y Pesquero de la Subregión del Bajo Cauca Antioqueño", deberá diseñar y adoptar el Plan Estratégico de Gestión que contenga el análisis de la dinámica socioeconómica, productiva y los determinantes del ordenamiento territorial, la previsión de diálogos territoriales, así como el inventario de la oferta institucional a cargo de entidades y organismos que conforman la Mesa de Trabajo Interinstitucional de acuerdo con sus competencias, que estén encaminadas a lograr los objetivos y propósitos de los Distritos Mineros Especiales para la Diversificación Productiva previstos del artículo 2.2.5.12.4.1 al 2.2.5.12.4.11 del Decreto número 977 de 2024.
Para el diseño del Plan Estratégico de Gestión del Distrito Minero Especial para la Diversificación Productiva al que se refiere el inciso anterior, se vinculará la participación y concertación con pueblos indígenas, comunidades negras, afrodescendientes, raizales palenqueras y otras comunidades étnicas presentes en el distrito delimitado, garantizando la inserción en el diseño y desarrollo del Plan Estratégico de Gestión de los enfoques de etnodesarrollo y de vida formulados por los Consejos Comunitarios de Comunidades Negras, Afrocolombianas, Raizales y Palenqueras, los Cabildos Indígenas y el Pueblo Rrom y para su aprobación deberá agotarse la consulta previa, conforme lo establecido en el artículo 11 de la presente resolución.
PARÁGRAFO. El Plan Estratégico de Gestión del "Distrito Agrominero y Pesquero de la Subregión del Bajo Cauca Antioqueño", tendrá en cuenta, entre otros, las determinantes ambientales y la zonificación elaborada por el Ministerio de Ambiente y Desarrollo Sostenible y Corantioquia; el potencial para el desarrollo productivo agrícola, pecuario, forestal, acuícola y ecoturístico, derivado de la diversidad del clima y las coberturas de la tierra determinado por el Ministerio de Agricultura y Desarrollo Rural; la caracterización de las actividades mineras y productivas que realizó la Secretaría de Minas de la Gobernación de Antioquía, con la colaboración de la Agencia Nacional de Minería y del Ministerio de Minas y Energía; los insumos elaborados por las Mesas Zonales y/o Temáticas que se conformen en el Distrito; el análisis de la dinámica socioeconómica, productiva y la oferta institucional a cargo de las entidades que conforman la Mesa de Trabajo Interinstitucional, con el fin de lograr los objetivos de la presente resolución y los señalados en el Decreto número 0977 de 2024.
ARTÍCULO 7o. TEMPORALIDAD DEL PLAN ESTRATÉGICO DE GESTIÓN. El Plan Estratégico de Gestión del "Distrito Agrominero y Pesquero de la Subregión del Bajo Cauca Antioqueño" tendrá una duración de cuatro (4) años, prorrogables de conformidad con las características y necesidades del distrito, atendiendo en todo momento a la proporcionalidad y razonabilidad sobre la temporalidad determinada.
ARTÍCULO 8o. EVALUACIÓN Y SEGUIMIENTO DEL PLAN ESTRATÉGICO DE GESTIÓN. El Plan Estratégico de Gestión del Distrito Minero Especial para la Diversificación Productiva integrará indicadores de resultado e impacto que permitan su seguimiento y evaluar las acciones establecidas, su eficacia y eficiencia. El Ministerio de Minas y Energía con el apoyo del Ministerio del Interior y el Departamento Nacional de Planeación realizarán el seguimiento de las acciones propuestas y adoptarán las acciones necesarias para ajustar aquellas acciones que presenten dificultades en torno a lograr los objetivos propuestos en la presente resolución y en el artículo 2.2.5.12.4.11 del Decreto número 0977 de 2024.
ARTÍCULO 9o. SEGUIMIENTO A LOS PROCESOS DE FORMALIZACIÓN. La Agencia Nacional de Minería (ANM) deberá presentar un plan de trabajo para la formalización por oferta, en los municipios que integran el "Distrito Agrominero y Pesquero de la Subregión del Bajo Cauca Antioqueño", con acciones diferenciadas para los sujetos de especial protección, dentro de los quince (15) días siguientes a la expedición de este acto administrativo; y a reportar mensualmente, el avance en el proceso de formalización, titulación, control, fiscalización, depuración del catastro minero y demás labores que garanticen los objetivos del distrito en concordancia con las normas que rigen los proceso de formalización minera vigentes.
ARTÍCULO 10. INFORME DE PLANIFICACIÓN MINERO-ENERGÉTICA. La Unidad de Planeación Minero Energética (UPME), en coordinación con la Dirección de Energía Eléctrica, la Dirección de Formalización Minera y la Dirección de Minería Empresarial del Ministerio de Minas y Energía, el Servicio Geológico Colombiano y demás entidades relevantes para lograr dicha planificación, deberán presentar un informe de planificación minero energética ante la Mesa de Trabajo Interinstitucional del Distrito, del "Distrito Agrominero y Pesquero de la Subregión del Bajo Cauca Antioqueño".
PARÁGRAFO: El informe de planificación minero-energética al que se refiere el presente artículo deberá presentarse dentro del mes siguiente a la expedición del presente acto administrativo.
ARTÍCULO 11. GARANTÍA DEL DERECHO FUNDAMENTAL A LA CONSULTA PREVIA PARA LA IMPLEMENTACIÓN DE LOS PLANES ESTRATÉGICOS DE GESTIÓN. De acuerdo con las competencias de cada organismo y entidades públicas que conforman la Mesa de Trabajo Interinstitucional del Distrito Agrominero y Pesquero de la Subregión del Bajo Cauca Antioqueño, se garantizará el diálogo participativo y la construcción de acuerdos con los pueblos indígenas, las comunidades negras, afrocolombianas, raizales y palenqueras y demás sujetos étnicos presentes en las zonas, como un proceso permanente y una herramienta fundamental en el análisis de la dinámica socioeconómica y socioambiental, en el diseño de los Planes Estratégicos de Gestión, así como de su evaluación y seguimiento.
Para la aprobación de los Planes Estratégicos de Gestión de los Distritos Mineros Especiales para la Diversificación Productiva, se garantizará el derecho fundamental a la consulta previa de las comunidades Negras, Afrocolombianas, Raizales y Palenqueras (NARP), pueblos indígenas y el pueblo rom cuando haya lugar, de acuerdo con los estándares de la Corte Constitucional en esta materia, en concordancia con el artículo 6o de la presente resolución".
ARTÍCULO 2o. VIGENCIA Y DEROGATORIA. El presente acto administrativo sustituye íntegramente a la Resolución número 40436 del 18 de octubre de 2024, y rige a partir de su publicación en el Diario Oficial.
Publíquese y cúmplase.
Dada en Bogotá, D. C., a 28 de noviembre de 2025.
El Ministro de Minas y Energía,
Edwin Palma Egea



NOTAS AL FINAL:
1. Término empleado en el Acuerdo de Paz y definido por el Plan de Zonificación Ambiental derivado del punto 1.1.10 (Resolución número 1608 de 2021).
empleado en el Acuerdo de Paz y definido por el Plan de Zonificación Ambiental derivado del punto 1.1.10 (Resolución 1608 de 2021).
2. https://www1.upme.gov.co/simco/Cifras-Sectoriales/EstudiosPublicaciones/Mineria_Bajo_Cauca_ compressed.pdf